As doenças são apontadas como uma das principais causas da regressão drástica do coelho- -bravo, sendo as principais a mixomatose e a doença hemorrágica viral (DHV). A mixomatose e a DHV têm variações sazonais distintas ao longo do ano. O pico de DHV no inverno está relacionado com o clima e a entrada de novos subadultos na população e o pico de mixomatose no verão é devido ao aumento de vectores da doença, as pulgas e mosquitos que transmitem o vírus. Geralmente, as doenças têm uma influência conjugada, com a DHV a afectar principalmente os adultos, transmitida, sobretudo, por contacto directo e sendo predominante no inverno e na primavera. A mixomatose afecta, principalmente, os jovens e ocorre entre a primavera e o verão. Esta doença foi introduzida em França, em 1952, e rapidamente passou para Espanha, onde foi detectada em 1953, e posteriormente para Portugal. Subsequentemente, mais de 90% dos coelhos em Portugal e Espanha foram mortos por esta doença. A DHV apareceu em Portugal e em Espanha em 1989. O seu efeito inicial foi devastador, já que a mortalidade atingiu 55%-75% dos coelhos.
Figura 1. Esquema de uma teia alimentar.
Na resposta a cada um dos itens de 1. a 6., selecciona a única opção que permite obter uma afirmação correta.
1. O coelho é um consumidor…
⦁ … primário, ocupando o primeiro nível trófico.
⦁ … primário, ocupando o segundo nível trófico.
⦁ … secundário, ocupando o primeiro nível trófico.
⦁ … secundário, ocupando o segundo nível trófico.
2. As plantas são seres…
⦁ … decompositores e transformam a matéria orgânica em matéria inorgânica.
⦁ … decompositores e transformam a matéria inorgânica em matéria orgânica.
⦁ … produtores e transformam a matéria orgânica em matéria inorgânica.
⦁ … produtores e transformam a matéria inorgânica em matéria orgânica.
3. O bufo comporta-se, exclusivamente, como…
⦁ … consumidor de primeira ordem.
⦁ … consumidor de segunda ordem.
⦁ … consumidor de terceira ordem.
⦁ … consumidor de segunda e terceira ordens.
4. Sobre a teia alimentar representada, podemos concluir que…
⦁ … os herbívoros ocupam o segundo nível trófico e usam a energia química contida nos tecidos vegetais.
⦁ … um determinado organismo dentro da teia alimentar pode ocupar diferentes níveis tróficos.
⦁ … a raposa, ao se alimentar de um rato, que se alimentou de plantas, é considerada um herbívoro.
⦁ … a transferência de energia começa com a captura da energia luminosa pelos produtores e passa directamente para os consumidores secundários.
5. A mixomatose é uma doença que afecta, principalmente, os…
⦁ … adultos e ocorre entre o inverno e a primavera.
⦁ … adultos e ocorre entre a primavera e o verão.
⦁ … jovens e ocorre entre o inverno e a primavera.
⦁ … jovens e ocorre entre a primavera e o verão.
6. Se a quantidade de dióxido de carbono na atmosfera diminuir, os organismos do esquema que serão primeiramente afectados por essa alteração serão…
⦁ … os ratos.
⦁ … as raposas.
⦁ … as plantas.
⦁ … os coelhos.
7. Explica, de acordo com os dados fornecidos, porque é que o aparecimento de doenças nos coelhos pode levar a uma diminuição da população de ratos.
8. Faz corresponder cada um das descrições, expressas na coluna A, à respectiva designação, que consta da coluna B.
Utiliza cada letra e cada número apenas uma vez.
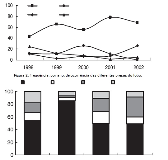
Figura 3. Frequência, por estação do ano, de ocorrência das diferentes presas do Lobo.
Na resposta a cada um dos itens de 1. a 6., selecciona a única opção que permite obter uma afirmação correta.
1. A introdução do corço servirá para…
⦁ … eliminar autotróficos indesejados.
⦁ … providenciar alimento para os consumidores primários.
⦁ … diminuir a predação das populações de animais domésticos.
⦁ … diminuir a competição com o lobo pelo alimento.
2. Em 2002, as principais presas do lobo foram…
⦁ … o corço e o veado.
⦁ … o corço e o javali.
⦁ … a cabra e a ovelha.
⦁ … o javali e as ovelhas.
3. O corço contribui para 80% da dieta do lobo no…
⦁ … verão, diminuindo a pressão predatória sobre o gado doméstico.
⦁ … inverno, diminuindo a pressão predatória sobre o gado doméstico.
⦁ … verão, aumentando a pressão predatória sobre o gado doméstico.
⦁ … inverno, aumentando a pressão predatória sobre o gado doméstico.
4. A acção de caça predatória pelo ser humano reduziu drasticamente a população de lobos. Como resultado desta acção, o número de…
⦁ … produtores e consumidores primários aumentou.
⦁ … produtores aumentou e o de consumidores primários diminuiu.
⦁ … produtores diminui e o de consumidores primários aumentou.
⦁ … produtores e consumidores primários diminuiu.
5. Para sustentar uma população de 20 corços com um peso médio de 25 kg cada um, serão precisos cerca de…
⦁ … 250 kg de vegetação herbácea.
⦁ … 500 kg de vegetação herbácea.
⦁ … 2500 kg de vegetação herbácea.
⦁ … 5000 kg de vegetação herbácea.
6. Os fungos e as bactérias presentes no ecossistema da serra de Montemuro…
⦁ … convertem a energia luminosa em energia química.
⦁ … produzem matéria orgânica, usando substâncias minerais.
⦁ … decompõem os organismos mortos, libertando substâncias minerais para o meio.
⦁ … aumentam o fluxo de energia entre os organismos do ecossistema.
7. Indica qual é a percentagem de javali na dieta do lobo, durante o outono.
8. Explica em que medida a reintrodução do corço pode diminuir os conflitos entre os lobos e os criadores de gado locais.
Grupo III
A ilha de Surtsey é uma ilha vulcânica que se situa 33 km a sul da costa da Islândia. A ilha formou-se durante o período compreendido entre 1963 e 1967, quando um vulcão submarino atingiu a superfície. Como uma ilha inteiramente nova, Surtsey possibilitou aos investigadores o ambiente ideal para estudar em detalhe uma sucessão ecológica. A colonização da ilha pelas plantas e animais está a ser registada desde a sua formação. A primeira planta vascular (Cakile arctica) foi descoberta em 1965, dois anos antes das erupções na ilha terminarem. A partir daí, 69 espécies de plantas colonizaram a ilha e estabeleceram-se várias colónias de aves marinhas. A colonização da ilha de Surtsey pode ser dividida em várias etapas. A primeira (1965-1974) foi dominada por plantas litorais costeiras que colonizaram a costa norte da ilha. A mais bem- -sucedida destas plantas foi a Honckenya peploides, que em 1971 produziu sementes pela primeira vez e, consequentemente, espalhou-se pela ilha. Os níveis de carbono e azoto no solo foram registados como muito baixos durante este período de tempo. Esta colonização inicial por plantas costeiras foi seguida de um período estacionário (1975-1984), onde um número reduzido de espécies chegou à ilha e a taxa de sobrevivência diminuiu.
Após este período de estagnação e do estabelecimento de uma colónia de gaivotas na ponta sul da ilha, novas espécies de plantas chegaram à ilha. As populações de plantas, dentro ou perto da colónia de gaivotas, expandiram-se rapidamente, enquanto as populações fora da colónia se mantiveram baixas. Ervas como a Poa annua formaram extensas manchas de vegetação. A primeira planta arbustiva, Salix phylicifolia, estabeleceu-se em 1998. Após este rápido aumento, a entrada de novos colonizadores diminuiu até ao ano de 2006. Uma segunda vaga de colonizadores fixou-se na ilha, incluindo algumas espécies que no passado não conseguiram sobreviver, acompanhando um aumento significativo da matéria orgânica do solo.
1. Indica quantas plantas vasculares existiam na ilha em 1994.
2. Refere qual é a principal forma de as plantas chegarem à ilha.
Na resposta a cada um dos itens de 3. a 6., selecciona a única opção que permite obter uma afirmação correta.
3. A ilha de Surtsey é um exemplo de uma sucessão ecológica…
⦁ … primária, porque ocorreu devido à destruição da comunidade instalada por uma catástrofe natural.
⦁ … secundária, porque ocorreu numa área onde não existia vida.
⦁ … primária, porque ocorreu numa área onde não existia vida.
⦁ … secundária, porque ocorreu devido à destruição da comunidade instalada por uma catástrofe natural.
4. São espécies pioneiras…
⦁ … a Cakile arctica e o Honckenya peploides.
⦁ … a Poa annua e a Salix phylicifolia.
⦁ … a Honckenya peploides e a Poa annua.
⦁ … a Cakile arctica e a Salix phylicifolia.
5. No processo de evolução do ecossistema da ilha de Surtsey, verificou-se…
⦁ … a manutenção dos níveis de matéria orgânica do solo.
⦁ … a manutenção das cadeias alimentares iniciais.
⦁ … uma diminuição dos nutrientes disponíveis no solo.
⦁ … um aumento da diversidade de seres vivos.
6. Num ecossistema, a comunidade clímax…
⦁ … é constituída por populações estáveis num ecossistema desenvolvido, onde os fluxos de matéria e de energia atingem o equilíbrio.
⦁ … é formada por organismos resistentes e menos exigentes em relação ao meio.
⦁ … é constituída pelos primeiros organismos que alteram a composição do solo e facilitam o aparecimento de novas espécies.
⦁ … cria condições para que outras espécies mais exigentes se possam fixar nesse ecossistema
7. Ordena as letras de A a E, de modo a reconstituíres a sequência cronológica dos acontecimentos relacionados com uma sucessão ecológica primária.
⦁ Formação de uma floresta de carvalhos.
⦁ Formação de um matagal com arbustos.
⦁ Formação de uma ilha por erupção vulcânica.
⦁ Instalação de ervas e de pequenos arbustos.
⦁ Instalação de líquenes e de musgos.
8. Faz corresponder os termos aumenta ou diminui às seguintes alíneas, para explicar como variam alguns factores ao longo da sucessão.
⦁ Número de espécies.
⦁ Instabilidade.
⦁ Perturbação causada pelos factores abióticos.
⦁ Recursos existentes no solo.
⦁ Luminosidade junto ao solo.
9. Explica porque é que algumas espécies que não sobreviveram na primeira vaga de colonização conseguiram fixar-se numa segunda vaga, anos mais tarde.
RESPOSTAS







Sem comentários:
Enviar um comentário
Nota: só um membro deste blogue pode publicar um comentário.